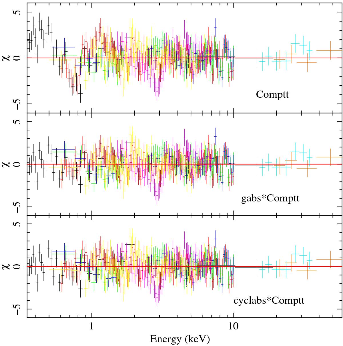
Fig. 9

Residuals with respect to the best-fit models shown in Tables 2 and 3. The colours are defined as in other figures. The data are graphically rebinned. From top to bottom, the residuals with respect to the continuum consist of: 1) a Comptt partially absorbed by local neutral matter (large residuals are evident at 0.7 keV); 2) gabs*Comptt with the energy of the gabs component close to 0.72 keV; 3) cyclabs*Comptt. The MOS12 spectrum covers the 1.5–7 keV energy band.
Current usage metrics show cumulative count of Article Views (full-text article views including HTML views, PDF and ePub downloads, according to the available data) and Abstracts Views on Vision4Press platform.
Data correspond to usage on the plateform after 2015. The current usage metrics is available 48-96 hours after online publication and is updated daily on week days.
Initial download of the metrics may take a while.