Free Access
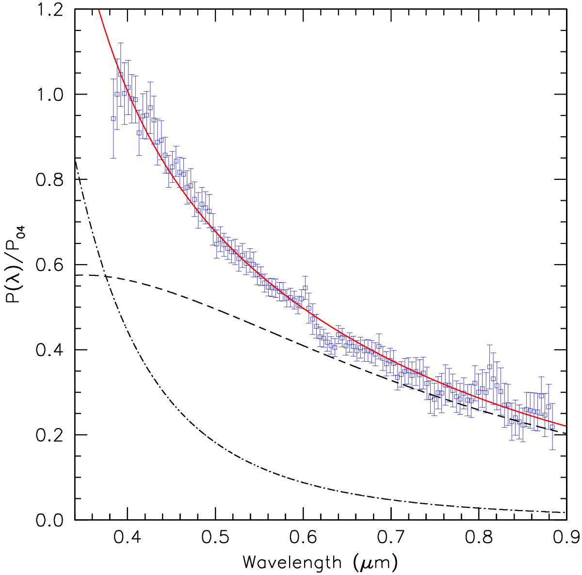
Fig. 6

Illustrative decomposition of the observed polarization in SN 2014J using a Serkowsky law (dashed) and a Rayleigh law (dotted-dashed). The solid line fitting the data traces the sum of the two (see text).
Current usage metrics show cumulative count of Article Views (full-text article views including HTML views, PDF and ePub downloads, according to the available data) and Abstracts Views on Vision4Press platform.
Data correspond to usage on the plateform after 2015. The current usage metrics is available 48-96 hours after online publication and is updated daily on week days.
Initial download of the metrics may take a while.