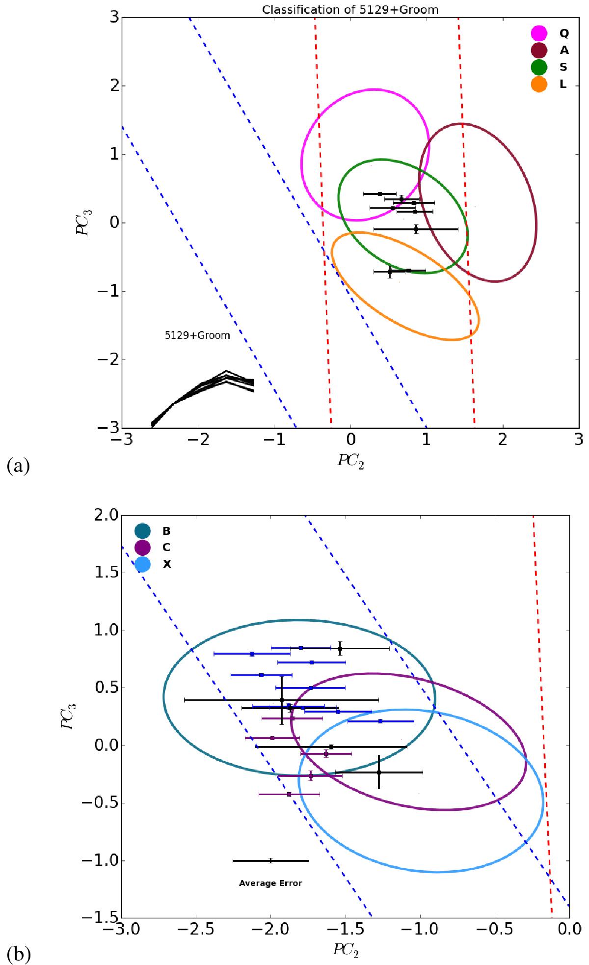
Fig. 6

a) Eight SDSS observations of asteroid (5129) Groom plotted in the scheme proposed. The error bars represent the errors transformed to PC space. The spectra of the observations are plotted together in the lower corner of the graph. The specific SDSS observation IDs are s14307, s0e2e7, sca267, sc8e1d, scf0dc, scdde4, scc719, and scbc65. b) Three asteroids with multiple observations presenting spectral variability. The SDSSMOC observation IDs for each asteroid: (2252) CERGA (blue): s3bafc, s3f6f3, s3eea4, s41189, s424bf, sbbb68, sf0125, sef985, sef5d2; (3631) Sigyn (purple): s16290, s16001, sf0e38, s042fc, s132c2; and (55926) 1998 FE60 (black): s17150, s18825, s17c18, s3924d, s2cd9b.
Current usage metrics show cumulative count of Article Views (full-text article views including HTML views, PDF and ePub downloads, according to the available data) and Abstracts Views on Vision4Press platform.
Data correspond to usage on the plateform after 2015. The current usage metrics is available 48-96 hours after online publication and is updated daily on week days.
Initial download of the metrics may take a while.