Free Access
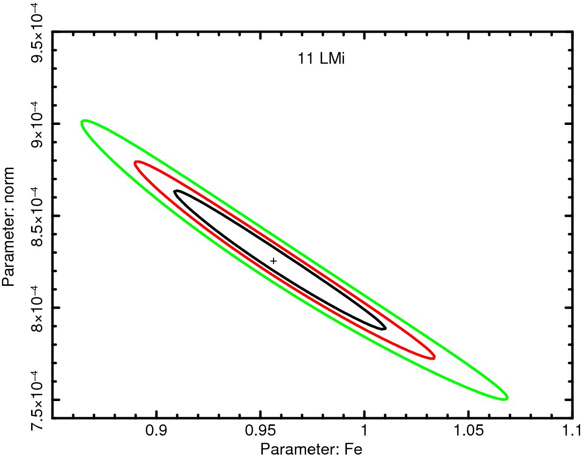
Fig. 3

Contours for 11 LMi of overall normalization representing EM (ratio of two thermal components tied) and Fe abundance, while ratios of all other metal abundances to Fe (AZ/AFe) are set to their EPIC-pn best-fit values. The ability to obtain absolute metal abundances with confidence to the level of 3σ is demonstrated.
Current usage metrics show cumulative count of Article Views (full-text article views including HTML views, PDF and ePub downloads, according to the available data) and Abstracts Views on Vision4Press platform.
Data correspond to usage on the plateform after 2015. The current usage metrics is available 48-96 hours after online publication and is updated daily on week days.
Initial download of the metrics may take a while.