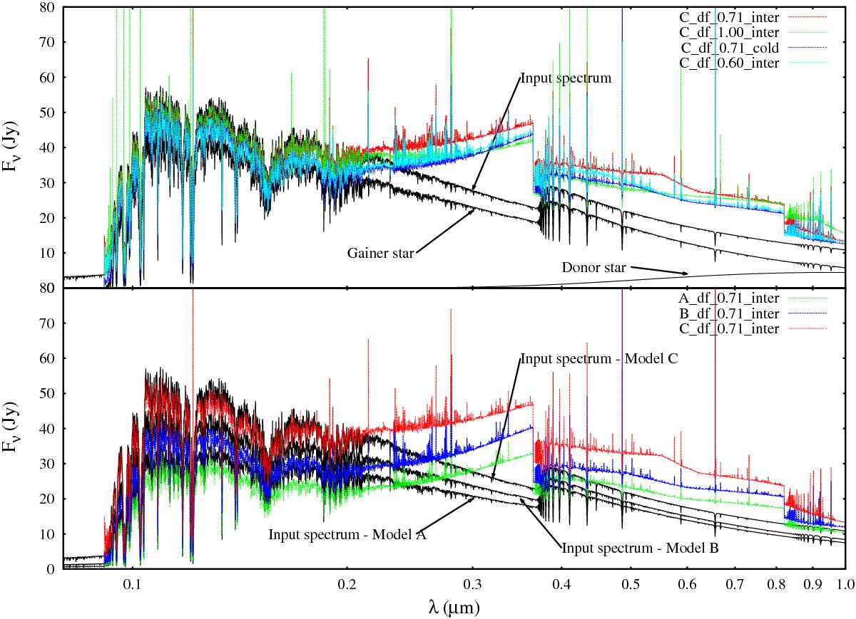
Fig. 7

Top: synthetic SEDs of the dust-free Cloudy models in the UV-optical regime. The input spectrum is the sum of the spectra of the gainer star, donor star, and hot spot with a temperature of 35 000 K (the last diluted according to the prescriptions of Appendix B). The fluxes are computed for a system distance of 300 pc. Bottom: same as top panel but for the different models A, B, and C (at different evolutionary times). The input spectra are in black from bottom to top (A, B, C).
Current usage metrics show cumulative count of Article Views (full-text article views including HTML views, PDF and ePub downloads, according to the available data) and Abstracts Views on Vision4Press platform.
Data correspond to usage on the plateform after 2015. The current usage metrics is available 48-96 hours after online publication and is updated daily on week days.
Initial download of the metrics may take a while.