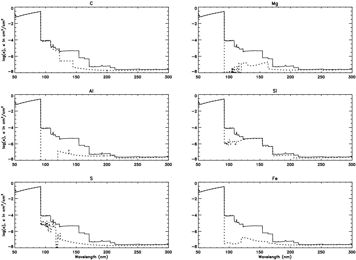
Fig. 7

Contribution of the most relevant metals to the background ultraviolet opacity in typical photospheric conditions (T = 5600 K, Pe = 10 dyn cm-2, Pg = 8 × 105 dyn cm-2). Other elements become relevant under different conditions. Solid: total opacity from all neutral and singly ionized elements between Z = 1 and Z = 26. Dotted: resulting opacity when neglecting all metals except for the one indicated in the title of each plot.
Current usage metrics show cumulative count of Article Views (full-text article views including HTML views, PDF and ePub downloads, according to the available data) and Abstracts Views on Vision4Press platform.
Data correspond to usage on the plateform after 2015. The current usage metrics is available 48-96 hours after online publication and is updated daily on week days.
Initial download of the metrics may take a while.