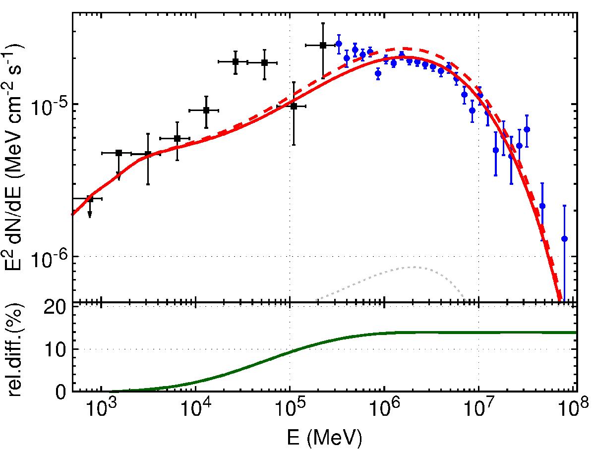
Fig. 6

Broadband γ-ray spectrum of RX J1713.7–3946 as measured with LAT (our results, black points) and with HESS (blue points), compared to calculated HE γ-ray spectra at the age of 1600 yr (solid red line) and 1610 yr (dashed red line). The IC contribution to both spectra is indicated for additional information (gray dotted line). The relative difference between spectra at two epochs is shown in the lower panel (solid green line).
Current usage metrics show cumulative count of Article Views (full-text article views including HTML views, PDF and ePub downloads, according to the available data) and Abstracts Views on Vision4Press platform.
Data correspond to usage on the plateform after 2015. The current usage metrics is available 48-96 hours after online publication and is updated daily on week days.
Initial download of the metrics may take a while.