Free Access
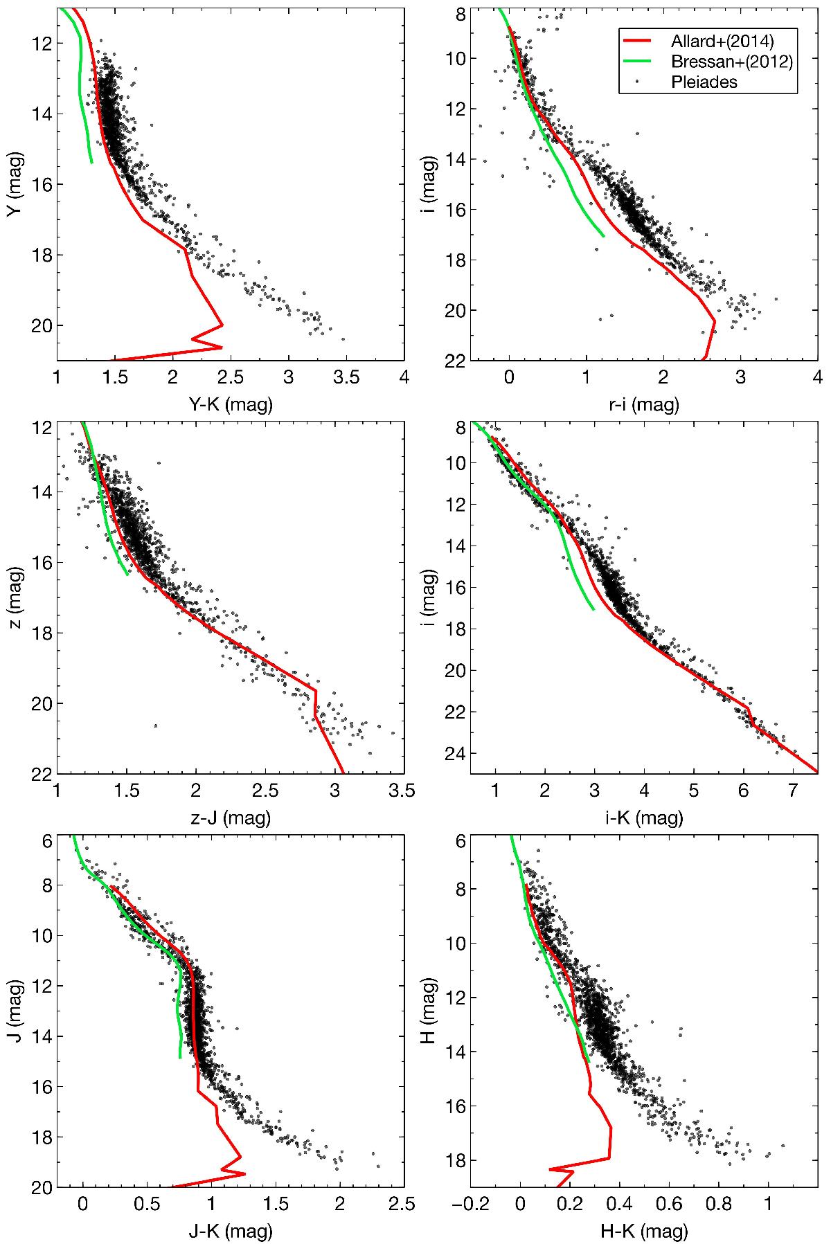
Fig. 7

Comparison of the observations of the Pleiades sequence (black dots) and models from Allard (2014; red) and Bressan et al. (2012; light green) for 120 Myr in various color magnitude diagrams.
Current usage metrics show cumulative count of Article Views (full-text article views including HTML views, PDF and ePub downloads, according to the available data) and Abstracts Views on Vision4Press platform.
Data correspond to usage on the plateform after 2015. The current usage metrics is available 48-96 hours after online publication and is updated daily on week days.
Initial download of the metrics may take a while.