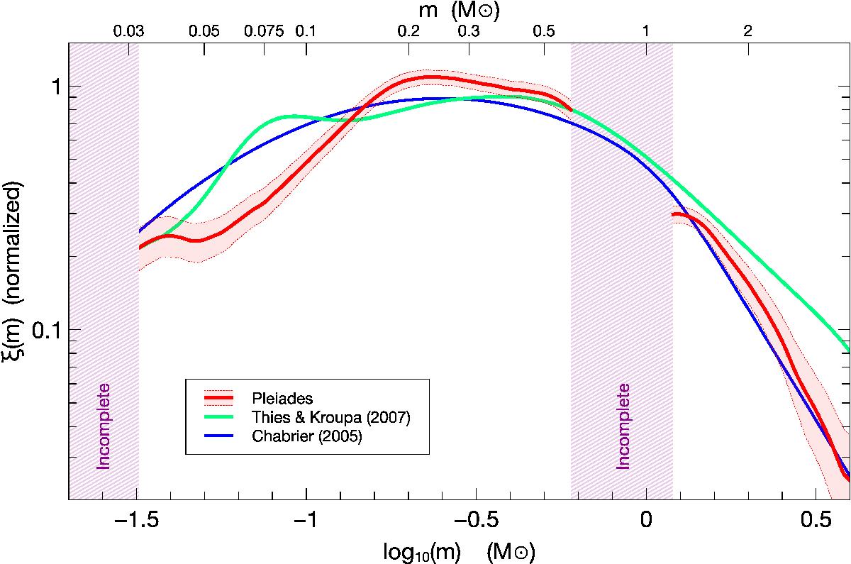
Fig. 9

Observed present-day system mass function of the Pleiades within the central 3° radius (red). Chabrier (2005) model for the galactic disk mass function (normalized to the same total mass over the range 0.03–0.6 M⊙) and Thies & Kroupa (2007) prediction for the Pleiades cluster are overplotted in blue and green, respectively, and normalized to the same total mass over the range 0.03–0.6 M⊙. The “gap” between the Tycho-2 and DANCe analyses and the estimated limit of completeness of the DANCe survey are indicated by shaded areas.
Current usage metrics show cumulative count of Article Views (full-text article views including HTML views, PDF and ePub downloads, according to the available data) and Abstracts Views on Vision4Press platform.
Data correspond to usage on the plateform after 2015. The current usage metrics is available 48-96 hours after online publication and is updated daily on week days.
Initial download of the metrics may take a while.