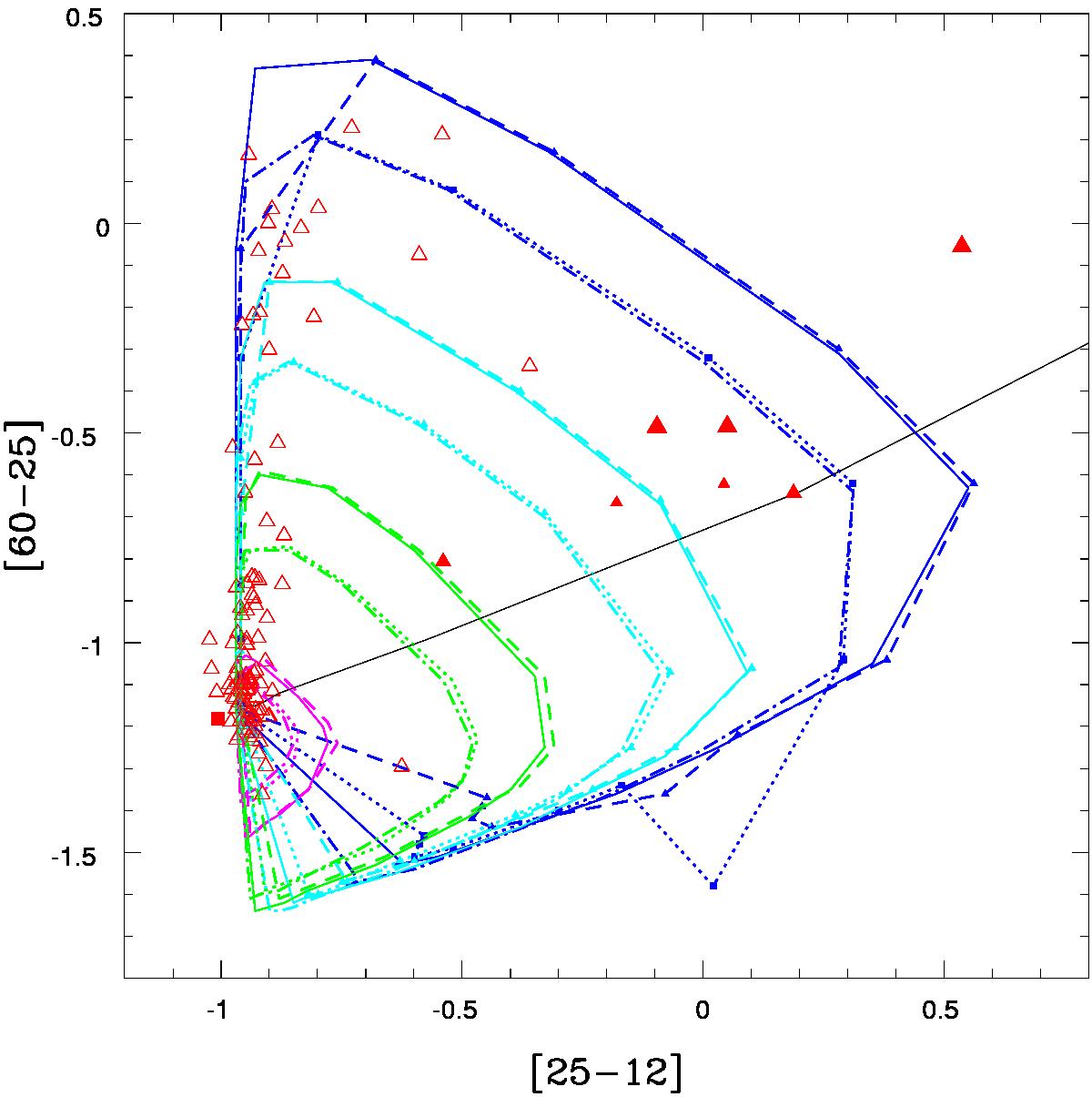
Fig. 5

Li-rich (filled triangles) and Li-normal (open triangles) giants with good quality data are superposed with dust shell evolutionary models. Different colors; magenta, green, cyan, and blue represent the loops of the evolution of a dust shell with mass-loss rates, 1 × 10-10, 1 × 10-9, 5 × 10-9, and 3 × 10-8, respectively. Four varieties of lines in each color indicate the different photospheric temperatures and radius, Teff = 5000 K, R = 20 R⊙, Teff = 4000 K, R = 20 R⊙, Teff = 5000 K, R = 10 R⊙, Teff = 4000 K, R = 10 R⊙ of the dust shell hosting stars, radially outward, respectively.
Current usage metrics show cumulative count of Article Views (full-text article views including HTML views, PDF and ePub downloads, according to the available data) and Abstracts Views on Vision4Press platform.
Data correspond to usage on the plateform after 2015. The current usage metrics is available 48-96 hours after online publication and is updated daily on week days.
Initial download of the metrics may take a while.