Free Access
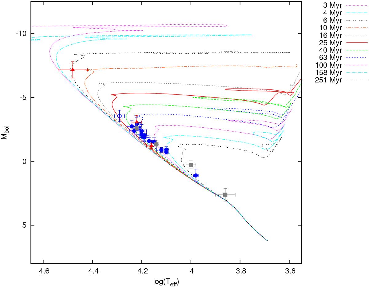
Fig. 7

NGC 6025: HR diagram. The estimated age of this cluster is in between 40 and 69 Myr. The isochrone curves are given by Ekström et al. (2012). Probable members of the clusters are denoted in • (blue) symbols, pnm in ⊙ (blue), and non-members (nm) in ■ (grey). Be star cluster members are indicated in ▴ (red).
Current usage metrics show cumulative count of Article Views (full-text article views including HTML views, PDF and ePub downloads, according to the available data) and Abstracts Views on Vision4Press platform.
Data correspond to usage on the plateform after 2015. The current usage metrics is available 48-96 hours after online publication and is updated daily on week days.
Initial download of the metrics may take a while.