Free Access
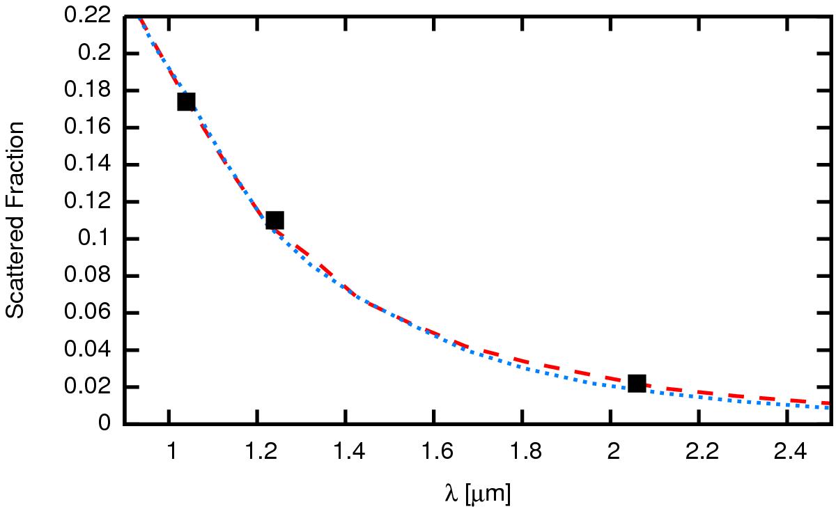
Fig. 4

Scattering fractions for the models with large particles of aerosil Al2O3 (red long dashed line) and Mg2SiO4 (blue short dashed line) in the GBDS. The black squares are the observations by Norris et al. (2012).
Current usage metrics show cumulative count of Article Views (full-text article views including HTML views, PDF and ePub downloads, according to the available data) and Abstracts Views on Vision4Press platform.
Data correspond to usage on the plateform after 2015. The current usage metrics is available 48-96 hours after online publication and is updated daily on week days.
Initial download of the metrics may take a while.