Free Access
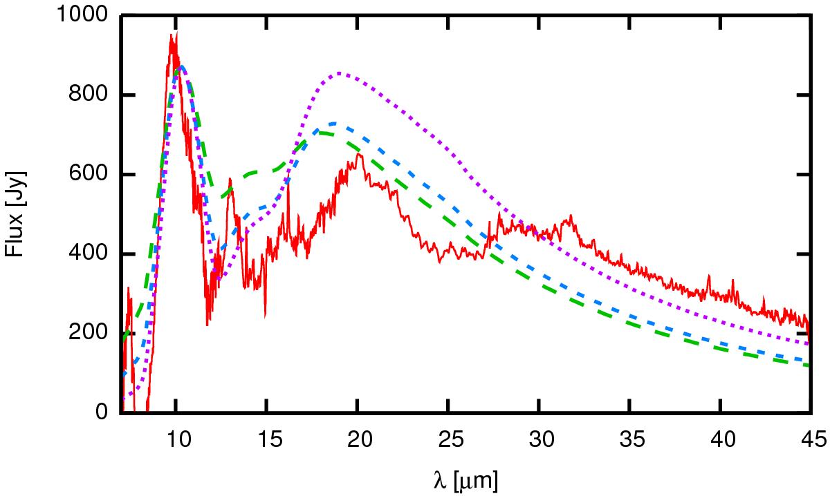
Fig. 7

Models for an envelope composed of Mg2AlSi2O7.5 and metallic iron ranging from 40 AU to 1800 AU. The different lines are for 30% (dotted purple), 50% (short dashed blue) and 70% (long dashed green) metallic iron content. The Al2O3-subtracted residual ISO spectrum is shown by the full red line.
Current usage metrics show cumulative count of Article Views (full-text article views including HTML views, PDF and ePub downloads, according to the available data) and Abstracts Views on Vision4Press platform.
Data correspond to usage on the plateform after 2015. The current usage metrics is available 48-96 hours after online publication and is updated daily on week days.
Initial download of the metrics may take a while.