Free Access
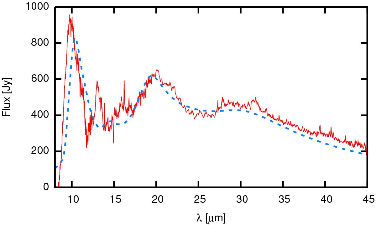
Fig. 8

Fit (dashed blue) to the amorphous Al2O3-shell-subtracted thermal spectrum (in solid red), adopting 40 AU as the inner boundary of the silicate emitting envelope and a mixture of 40% metallic iron and 60% Ca2Mg0.5Al2Si1.5O7 particles that are in thermal contact.
Current usage metrics show cumulative count of Article Views (full-text article views including HTML views, PDF and ePub downloads, according to the available data) and Abstracts Views on Vision4Press platform.
Data correspond to usage on the plateform after 2015. The current usage metrics is available 48-96 hours after online publication and is updated daily on week days.
Initial download of the metrics may take a while.