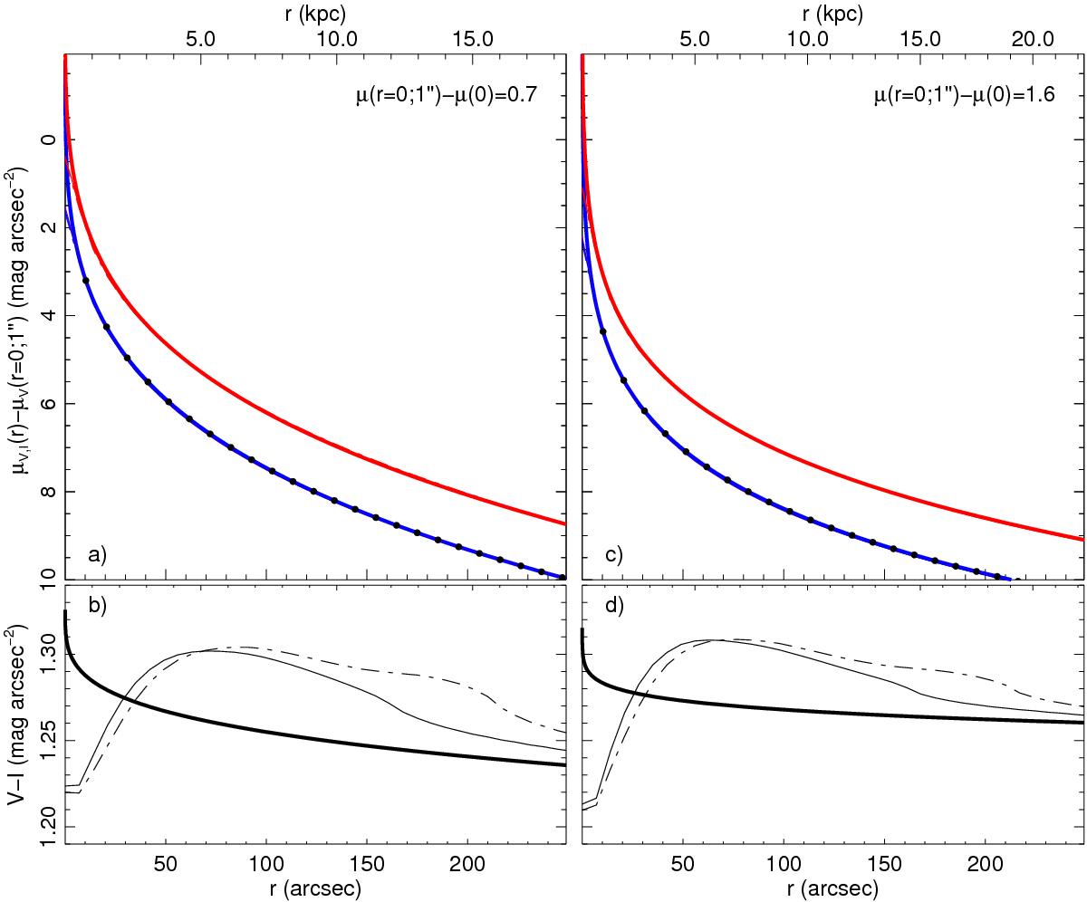
Fig. 10

Scattered-light effects of two Virgo-cluster galaxy models: NGC 4473 (left panels) and NGC 4374 (right panels). Panels, lines, and offsets are as described in Figs. 2 and 4. The convolved profiles are invisible as they fall atop the model profiles. Black bullets show a fitted Sérsic profile for the respective galaxy (the parameters are taken from K09).
Current usage metrics show cumulative count of Article Views (full-text article views including HTML views, PDF and ePub downloads, according to the available data) and Abstracts Views on Vision4Press platform.
Data correspond to usage on the plateform after 2015. The current usage metrics is available 48-96 hours after online publication and is updated daily on week days.
Initial download of the metrics may take a while.