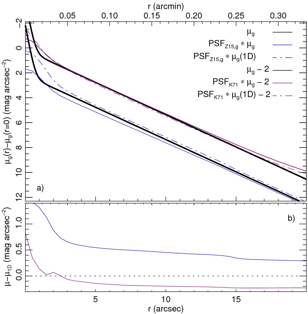
Fig. 11

Radial surface-brightness profiles. Panel a): model of Zheng et al. (2015) convolved with PSFZ15,g (blue lines) and with PSFK71 (purple lines), respectively. The regular (one-dimensional) model convolved with the regular (one-dimensional) PSF is shown with a solid (dash-dotted) line. Panel b): difference between the convolved regular and one-dimensional models.
Current usage metrics show cumulative count of Article Views (full-text article views including HTML views, PDF and ePub downloads, according to the available data) and Abstracts Views on Vision4Press platform.
Data correspond to usage on the plateform after 2015. The current usage metrics is available 48-96 hours after online publication and is updated daily on week days.
Initial download of the metrics may take a while.