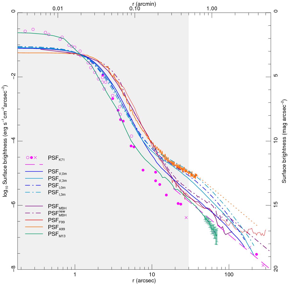
Fig. A.1

PSF surface-brightness profiles versus the radius r for a 0 mag point
source. Individual PSFs are drawn with coloured lines and symbols as indicated in
the figure. PSFK71, PSFV,0m, PSFi,0m,
PSFi,3m, PSFMBH, and
PSF are shown in this figure as
references. The light grey region indicates the PSF core, and the white region the
aureole, as defined in Paper I. The extrapolated part of PSFA99 is shown with a dotted
line.
Current usage metrics show cumulative count of Article Views (full-text article views including HTML views, PDF and ePub downloads, according to the available data) and Abstracts Views on Vision4Press platform.
Data correspond to usage on the plateform after 2015. The current usage metrics is available 48-96 hours after online publication and is updated daily on week days.
Initial download of the metrics may take a while.