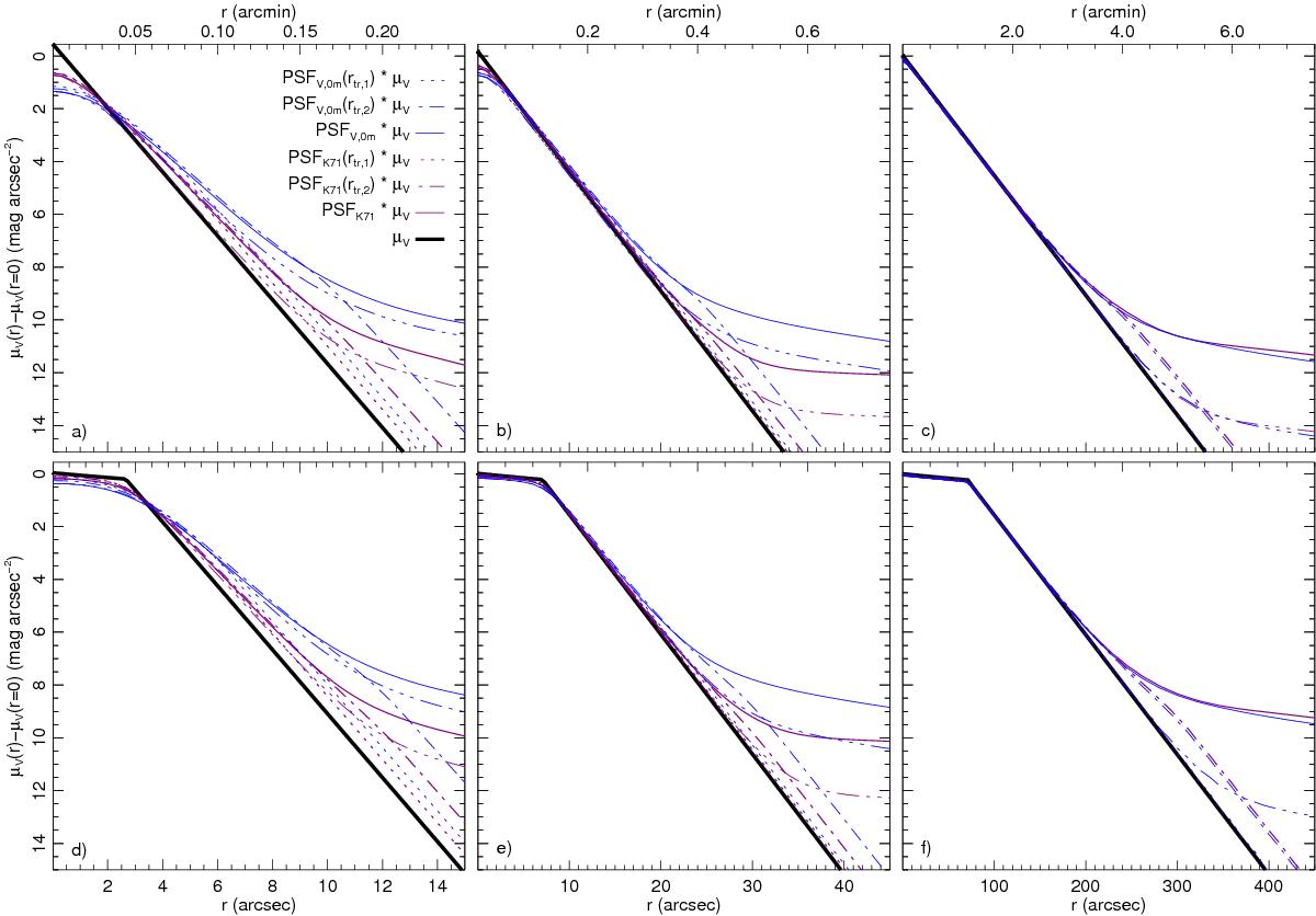
Fig. A.2

Surface-brightness profiles of example models of three Sérsic-type galaxies (the upper panels a)–c)) and three face-on disc galaxies (the lower panels d)–f)) that illustrate effects of a radial truncation of PSFK71 and PSFV,0m. The three columns show: a) and d) two small galaxies; b) and e) two intermediate-size galaxies; and c) and f) two large galaxies. In each panel, the galaxy model profile is drawn with a thick black solid line, and the model profiles that were convolved with PSFK71 (PSFV,0m) are drawn with thin purple (blue) lines. The profile of the model that was convolved with the complete PSF is drawn with a thin solid line. Profiles are also shown where each PSF was truncated at rtr,1 (rtr,2) with a dotted (dash-dotted) line in each panel; a) and d) rtr,1 = 4″ and rtr,2 = 10″; b) and e) rtr,1 = 10″ and rtr,2 = 25″; c) and f) rtr,1 = 10″ (lines fall atop the model lines and are not visible) and rtr,2 = 250″ (Table A.2). The dash-tripple-dotted lines show the result of one-dimensional models that were convolved with the respective one-dimensional PSF.
Current usage metrics show cumulative count of Article Views (full-text article views including HTML views, PDF and ePub downloads, according to the available data) and Abstracts Views on Vision4Press platform.
Data correspond to usage on the plateform after 2015. The current usage metrics is available 48-96 hours after online publication and is updated daily on week days.
Initial download of the metrics may take a while.