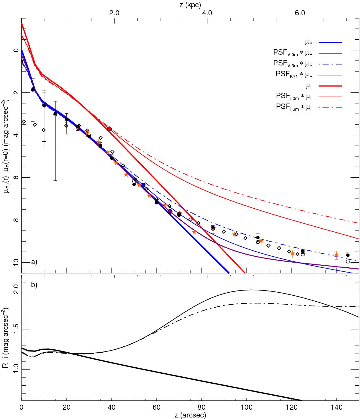
Fig. C.2

Minor-axis surface-brightness profiles versus the vertical distance z for the edge-on disc galaxy NGC 4565. Panels, lines, and coloured bullets are as described in Fig. 2. The bullets and circles (diamonds; orange stars) in panel a) show measured r-band and B-band (J-band; V-band) values of Jensen & Thuan (1982, KS81a; Näslund & Jörsäter 1997.
Current usage metrics show cumulative count of Article Views (full-text article views including HTML views, PDF and ePub downloads, according to the available data) and Abstracts Views on Vision4Press platform.
Data correspond to usage on the plateform after 2015. The current usage metrics is available 48-96 hours after online publication and is updated daily on week days.
Initial download of the metrics may take a while.