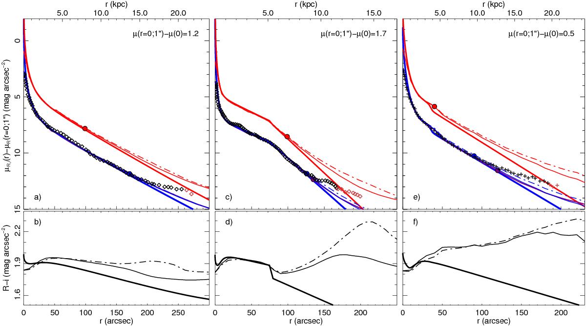
Fig. D.1

Radial R-band and i-band surface-brightness profiles versus radius for three face-on disc galaxies: a) and b) NGC 4477; c) and d) NGC 3507; and e) and f) NGC 2880. The panels, lines, coloured bullets, and offsets are as described in Figs. 2 and 4. Diamonds (crosses) show R-band SDSS (INT) measurements (EPB08, their Fig. 14); red symbols indicate values that are fainter than their sky-uncertainty limit.
Current usage metrics show cumulative count of Article Views (full-text article views including HTML views, PDF and ePub downloads, according to the available data) and Abstracts Views on Vision4Press platform.
Data correspond to usage on the plateform after 2015. The current usage metrics is available 48-96 hours after online publication and is updated daily on week days.
Initial download of the metrics may take a while.