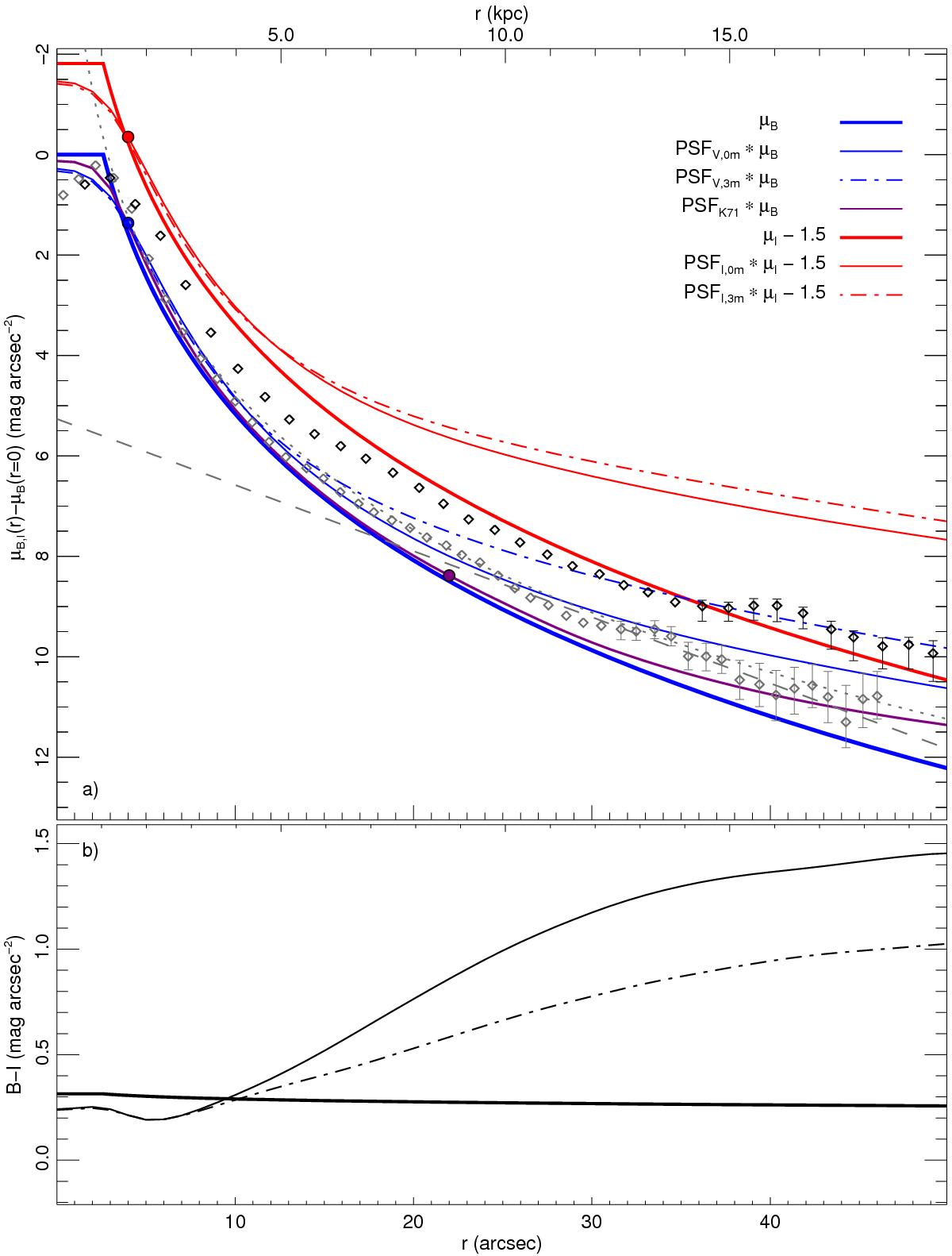
Fig. E.4

Surface-brightness profiles versus radius for the alternative models of ESO 350-IG038 (Haro 11), compare with Fig. E.1. Panels, lines, and coloured bullets are as described in Fig. 2. The I-band profiles are offset by −1.5 mag arcsec-2 from the B-band profiles for increased visibility. Grey and black bullets and error bars mark measured B-band (BÖ02) and V-band (M10) values, respectively. The grey dotted (dashed) line shows the best-fit Sérsic-type model (exponential fit to the disc in the range 20 <r< 41″) of BÖ02.
Current usage metrics show cumulative count of Article Views (full-text article views including HTML views, PDF and ePub downloads, according to the available data) and Abstracts Views on Vision4Press platform.
Data correspond to usage on the plateform after 2015. The current usage metrics is available 48-96 hours after online publication and is updated daily on week days.
Initial download of the metrics may take a while.