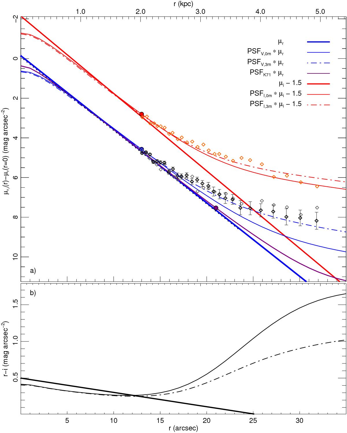
Fig. E.5

Surface-brightness profiles versus radius for the BCG VCC 0001. Panels, lines, and coloured bullets are as described in Fig. 2. The i-band profiles are offset by −1.5 mag arcsec-2 from the r-band profiles for increased visibility. Black diamonds (grey; orange) diamonds, and error bars mark measured r-band (g-band; i-band) values of Meyer et al. (2014).
Current usage metrics show cumulative count of Article Views (full-text article views including HTML views, PDF and ePub downloads, according to the available data) and Abstracts Views on Vision4Press platform.
Data correspond to usage on the plateform after 2015. The current usage metrics is available 48-96 hours after online publication and is updated daily on week days.
Initial download of the metrics may take a while.