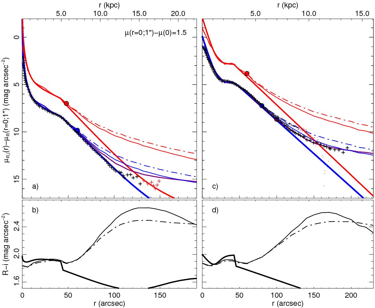
Fig. 4

Radial R-band and i-band surface-brightness profiles versus radius for two face-on disc galaxies: a) and b) NGC 7280, and c) and d) NGC 4102. Panels, lines, and coloured bullets are as described in Fig. 2. For NGC 7280, the measured centre magnitudes at 1″ seeing are 1.5 mag arcsec-2 fainter than the model magnitude at the centre; there is no additional offset here between the i-band and the R-band profiles. Measurements of EPB08 are shown with crosses in panels a) and c) (for the R band, their Fig. 14). The r-band measurements of Courteau (1996) for NGC 4102 are also shown with black dots in panel c). Red symbols indicate values that are fainter than the sky-uncertainty limit.
Current usage metrics show cumulative count of Article Views (full-text article views including HTML views, PDF and ePub downloads, according to the available data) and Abstracts Views on Vision4Press platform.
Data correspond to usage on the plateform after 2015. The current usage metrics is available 48-96 hours after online publication and is updated daily on week days.
Initial download of the metrics may take a while.