Fig. 7

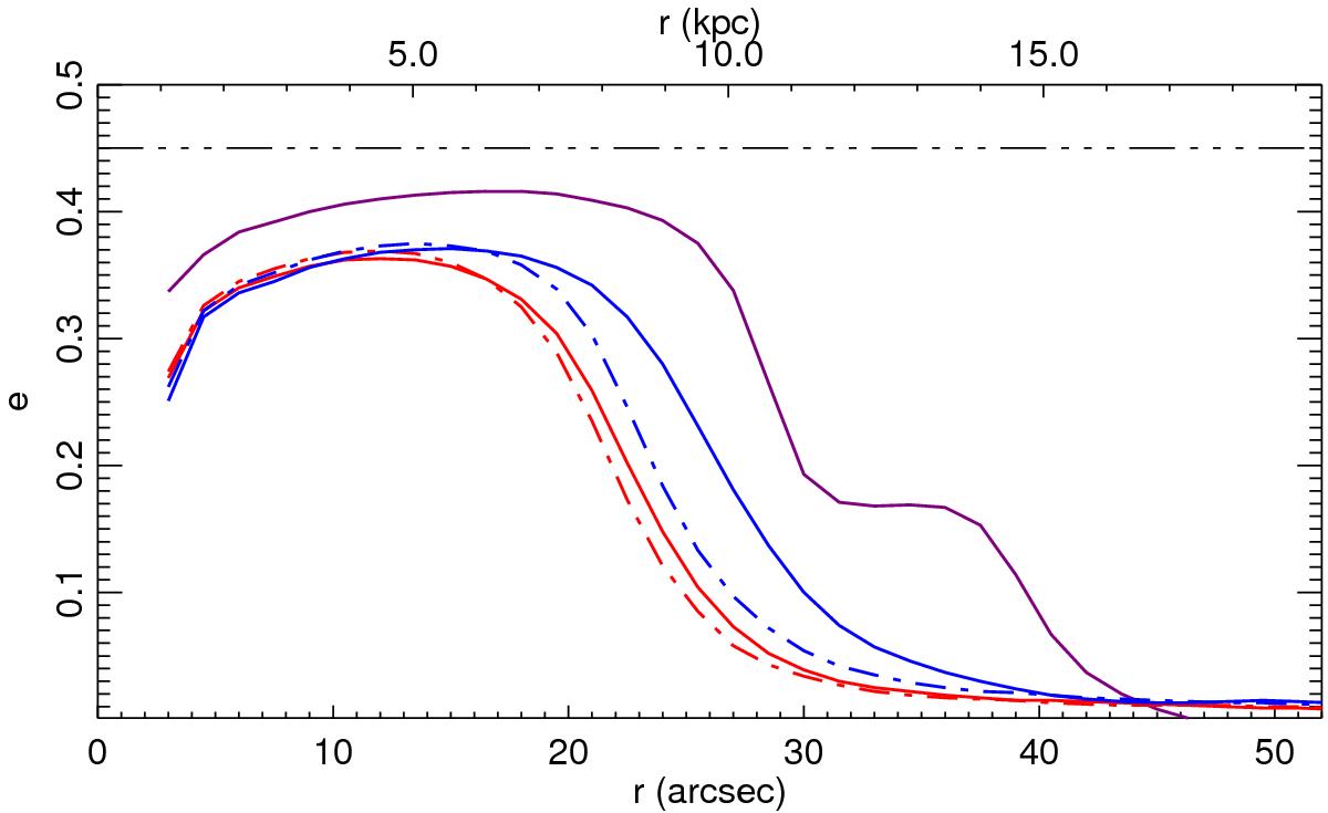
Ellipticity versus radius e(r) of convolved models of ESO 400-G043; although, using the model ellipticity e = 0.45 (dash-tripple-dotted line). The model was convolved using five PSFs: PSFK71 (purple line), PSFV,0m and PSFV,3m (blue solid and dash-dotted lines), PSFi,0m and PSFi,3m (red solid and dash-dotted lines).
Current usage metrics show cumulative count of Article Views (full-text article views including HTML views, PDF and ePub downloads, according to the available data) and Abstracts Views on Vision4Press platform.
Data correspond to usage on the plateform after 2015. The current usage metrics is available 48-96 hours after online publication and is updated daily on week days.
Initial download of the metrics may take a while.