Fig. 9

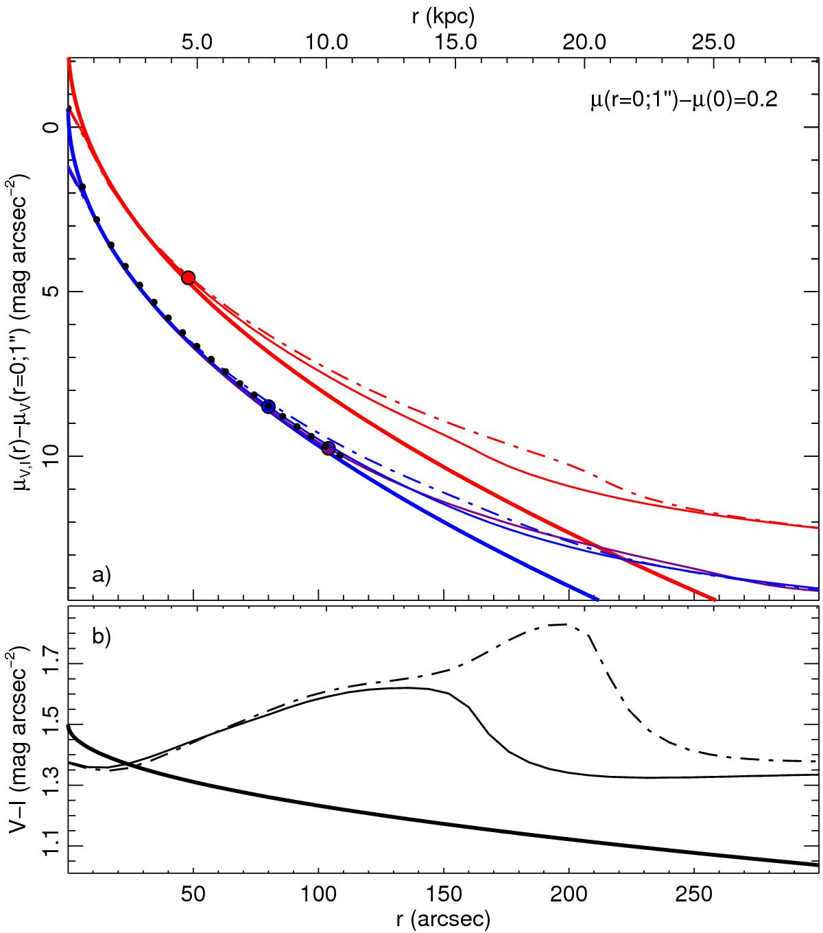
Surface-brightness profiles versus radius for NGC 4551. Panels, lines, coloured bullets, and offsets are as described in Figs. 2 and 4. The I-band profile in panel a) is offset by −0.5 mag arcsec-2 from the V-band profile. Black bullets show a fitted Sérsic profile (the parameters are taken from K09).
Current usage metrics show cumulative count of Article Views (full-text article views including HTML views, PDF and ePub downloads, according to the available data) and Abstracts Views on Vision4Press platform.
Data correspond to usage on the plateform after 2015. The current usage metrics is available 48-96 hours after online publication and is updated daily on week days.
Initial download of the metrics may take a while.