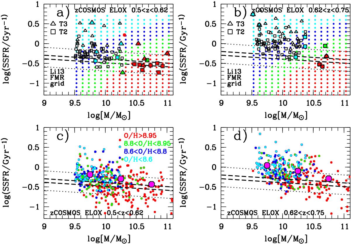
Fig. 4

SSFR-mass relation for zCOSMOS galaxies at 0.5 <z< 0.62 (panels a) and c)) and at 0.62 <z< 0.75 (panels b) and d)), with the data points color-coded according to the measured metallicity value (legend in panel c)). The colors of the grid points in panel a) and b) indicate the metallicities expected for the Z(M, SFR) extrapolation of Li13. In panels a) and b), galaxies with ISAAC spectroscopy are shown as colored symbols, while ELOX galaxies with O/H < 8.6 (the respective cyan circles in panels c) and d)) are shown as black symbols as squares (triangles) for T2 (T3) morphologies. In panels c) and d) the large magenta filled circles show the mean values of the SSFRs in three mass bins. ELOX galaxies with lower R23 branch KD02 metallicities, O/H < 8.6, have typically lower masses (9.5 < log (M/M⊙) < 10.3), and preferentially irregular morphologies when they have higher SSFRs. This diagram also indicates that SFR is a second parameter in the MZR of the zCOSMOS sample at 0.5 <z< 0.75, because galaxies with higher (S)SFRs generally also have lower metallicities.
Current usage metrics show cumulative count of Article Views (full-text article views including HTML views, PDF and ePub downloads, according to the available data) and Abstracts Views on Vision4Press platform.
Data correspond to usage on the plateform after 2015. The current usage metrics is available 48-96 hours after online publication and is updated daily on week days.
Initial download of the metrics may take a while.