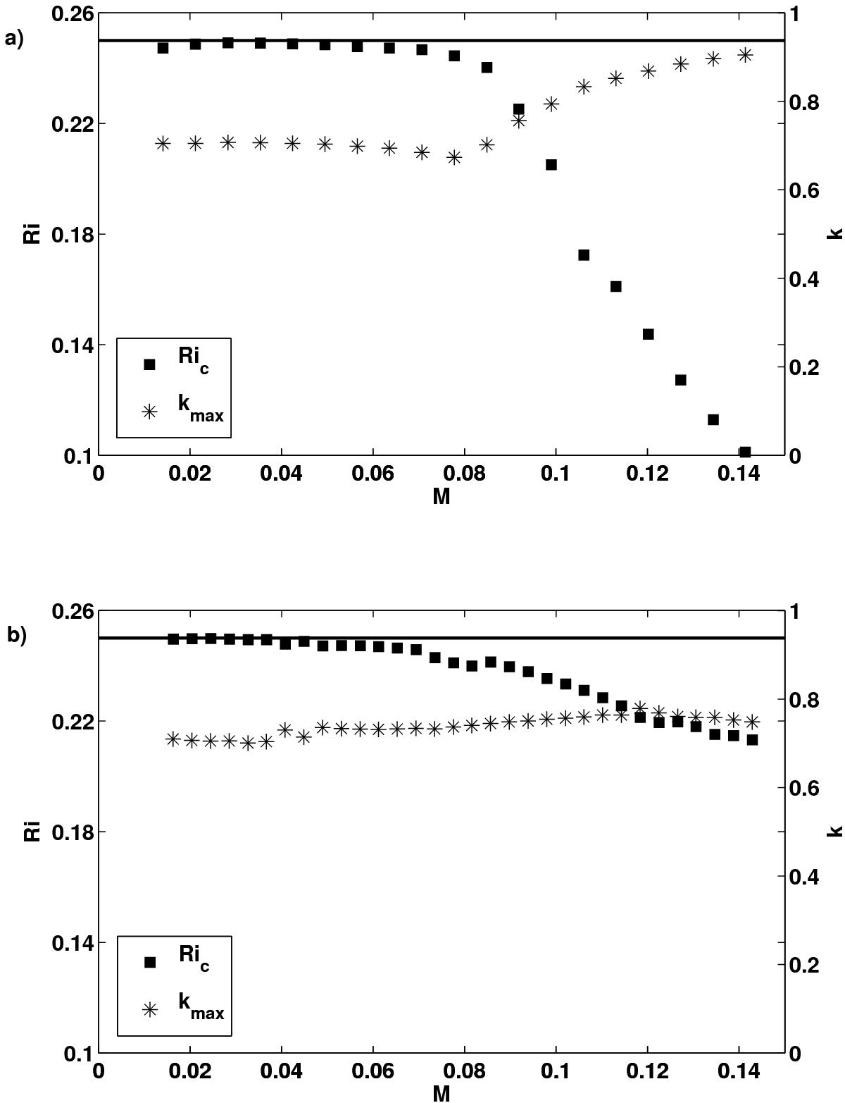
Fig. 2

Critical Richardson number in a viscous fluid for different Mach numbers, M, in both plots. The corresponding wave numbers kmax of the most unstable mode at the onset of instability are plotted, and the wave number is normalised by the inverse of the characteristic length 1 /Lu. The horizontal line in both plots corresponds to Ri = 0.25. In a) the atmosphere is weakly stratified with θ = 2, whereas in b)θ = 10, which corresponds to a strongly stratified atmosphere.
Current usage metrics show cumulative count of Article Views (full-text article views including HTML views, PDF and ePub downloads, according to the available data) and Abstracts Views on Vision4Press platform.
Data correspond to usage on the plateform after 2015. The current usage metrics is available 48-96 hours after online publication and is updated daily on week days.
Initial download of the metrics may take a while.