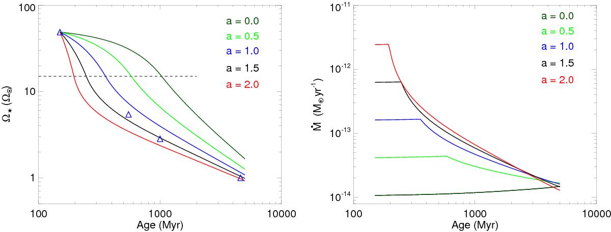
Fig. 5

Influence of the free parameter a on the rotational evolution of solar mass stars starting at ~150 Myr at the 90th percentile of the rotational distribution. Left panel: angular velocity against stellar age for different values of a, where the triangles show the observational constraints on the 90th percentile track given in Table 1. The horizontal dashed line shows the saturation threshold for both the mass loss rate and the magnetic field strength. Right panel: corresponding wind mass loss rates along each track.
Current usage metrics show cumulative count of Article Views (full-text article views including HTML views, PDF and ePub downloads, according to the available data) and Abstracts Views on Vision4Press platform.
Data correspond to usage on the plateform after 2015. The current usage metrics is available 48-96 hours after online publication and is updated daily on week days.
Initial download of the metrics may take a while.