Free Access
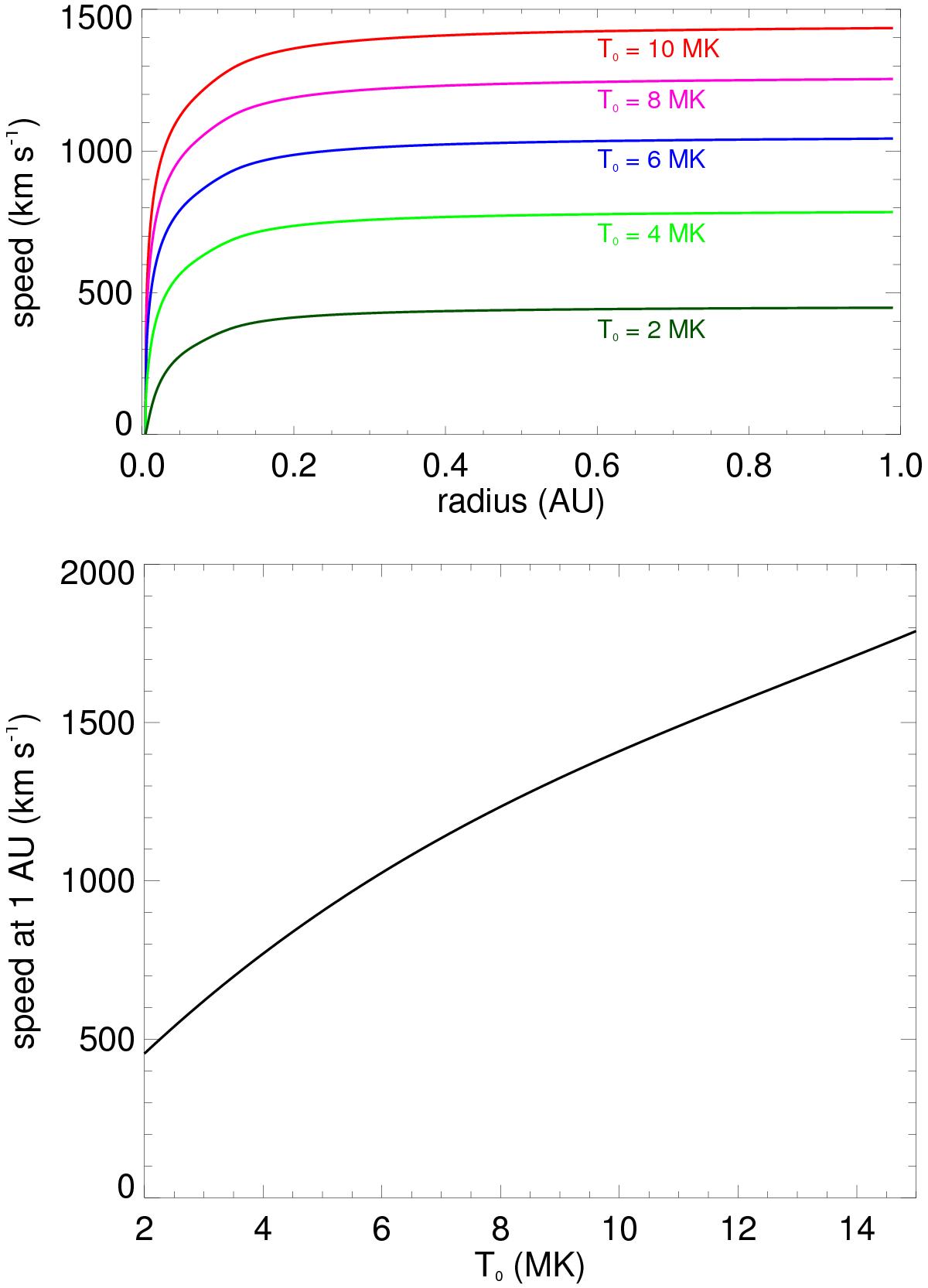
Fig. 9

Dependence of wind speed on the wind base temperature in our model. Upper panel: wind speed against radial distance from the stellar surface for a solar mass and radius star for five different base temperatures. Lower panel: dependence of wind speed at 1 AU on T0, as given by Eq. (19).
Current usage metrics show cumulative count of Article Views (full-text article views including HTML views, PDF and ePub downloads, according to the available data) and Abstracts Views on Vision4Press platform.
Data correspond to usage on the plateform after 2015. The current usage metrics is available 48-96 hours after online publication and is updated daily on week days.
Initial download of the metrics may take a while.