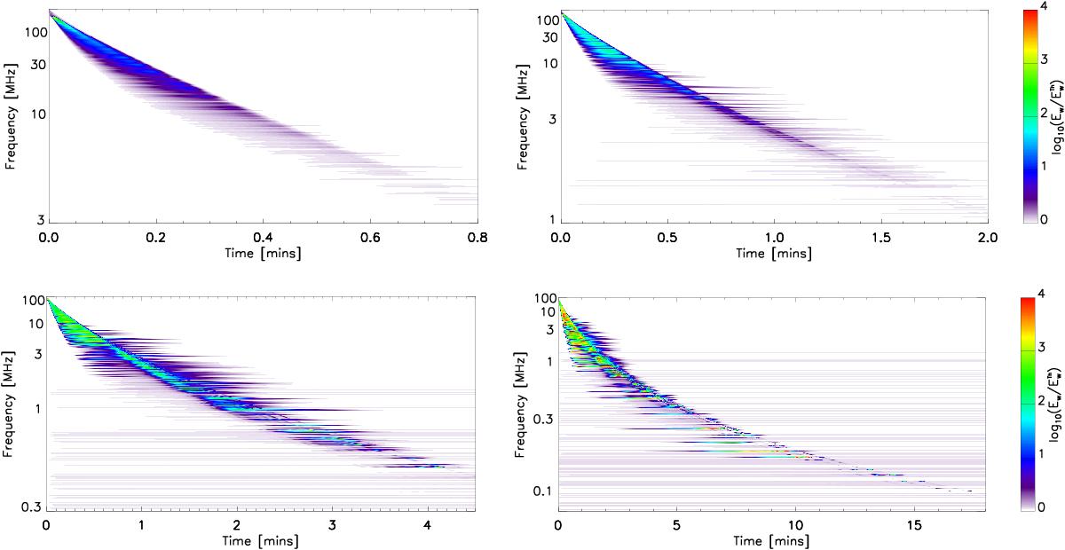
Fig. 6

Langmuir wave energy density in the plasma frequency – time plane. The electron beam initial parameters are as in Figs. 3, 4 except that the background plasma includes density fluctuations. Again, the coefficient that models the magnetic flux tube expansion is β = 3.5 (top left), β = 3.0 (top right), β = 2.5 (bottom left), β = 2.0 (bottom right). Note the different values of the frequency and time axis between each graph.
Current usage metrics show cumulative count of Article Views (full-text article views including HTML views, PDF and ePub downloads, according to the available data) and Abstracts Views on Vision4Press platform.
Data correspond to usage on the plateform after 2015. The current usage metrics is available 48-96 hours after online publication and is updated daily on week days.
Initial download of the metrics may take a while.