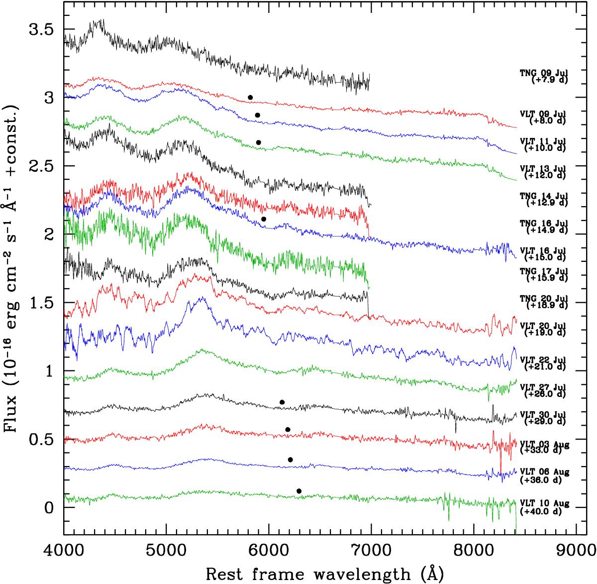
Fig. 3

Sixteen dereddened, host- and afterglow-subtracted TNG and VLT spectra. For clarity, the spectra have been vertically shifted by 2 × 10-17 erg cm-2 s-1 Å-1, with the earliest one (TNG, Jul. 9) at top and the latest one, not shifted, at the bottom. All VLT spectra are smoothed with a boxcar of 8 Å, with the exception of those from Jul. 20 and 22 (that have the lowest S/N), which are smoothed by 25 Å. All TNG spectra are smoothed with a boxcar of 7 Å. The time intervals are computed from the GRB explosion time. Black filled circles mark the position of the SiII6355 feature, used to determine the photospheric velocity of the ejecta (see Sect. 4.4).
Current usage metrics show cumulative count of Article Views (full-text article views including HTML views, PDF and ePub downloads, according to the available data) and Abstracts Views on Vision4Press platform.
Data correspond to usage on the plateform after 2015. The current usage metrics is available 48-96 hours after online publication and is updated daily on week days.
Initial download of the metrics may take a while.