Free Access
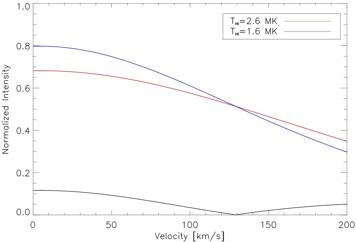
Fig. 14

Integral of the normalized scattering profile subtended by the incident chromospheric one in the outflow velocity range 0–200 km s-1 for THI = 2.6 × 106 K (red line) and THI = 1.6 × 106 K (blue line). The black line outlines the modulus of the difference between the two previous curves.
Current usage metrics show cumulative count of Article Views (full-text article views including HTML views, PDF and ePub downloads, according to the available data) and Abstracts Views on Vision4Press platform.
Data correspond to usage on the plateform after 2015. The current usage metrics is available 48-96 hours after online publication and is updated daily on week days.
Initial download of the metrics may take a while.