Fig. 1

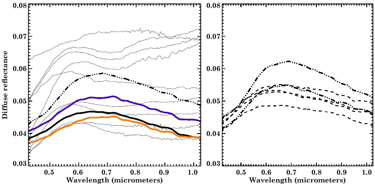
Left: visible to near-infrared bidirectional (i ≈ 30° (dashed line) and 45° (solid lines), e = 0°) diffuse reflectance spectra of one Murchison pellet before (black) and after (colored lines, only measured at 45°) irradiation with 3 × 1016 He+/cm2 (orange) and 6 × 1015 Ar+/cm2 (purple), compared with RELAB powder spectra (gray) as presented in Cloutis et al. (2011; i = 30°, e = 0°). Right: visible to near-infrared bidirectional diffuse reflectance spectra (viewing geometry at ≈30°) on both pellets before irradiation to show surface heterogeneity of each sample.
Current usage metrics show cumulative count of Article Views (full-text article views including HTML views, PDF and ePub downloads, according to the available data) and Abstracts Views on Vision4Press platform.
Data correspond to usage on the plateform after 2015. The current usage metrics is available 48-96 hours after online publication and is updated daily on week days.
Initial download of the metrics may take a while.