Fig. 3

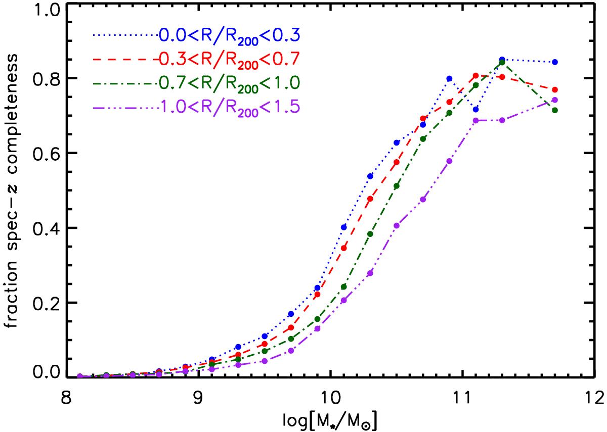
Spectroscopic completeness for sources with a photometric redshift z< 0.3 as a function of stellar mass (assuming the same distance modulus as the cluster redshift). The four lines show different radial bins. For targets of a given stellar mass, the spectroscopic completeness is slightly higher for those that are closer to the cluster centres. For each of the radial bins, the completeness is larger than 70% for stellar masses M⋆> 1011M⊙.
Current usage metrics show cumulative count of Article Views (full-text article views including HTML views, PDF and ePub downloads, according to the available data) and Abstracts Views on Vision4Press platform.
Data correspond to usage on the plateform after 2015. The current usage metrics is available 48-96 hours after online publication and is updated daily on week days.
Initial download of the metrics may take a while.