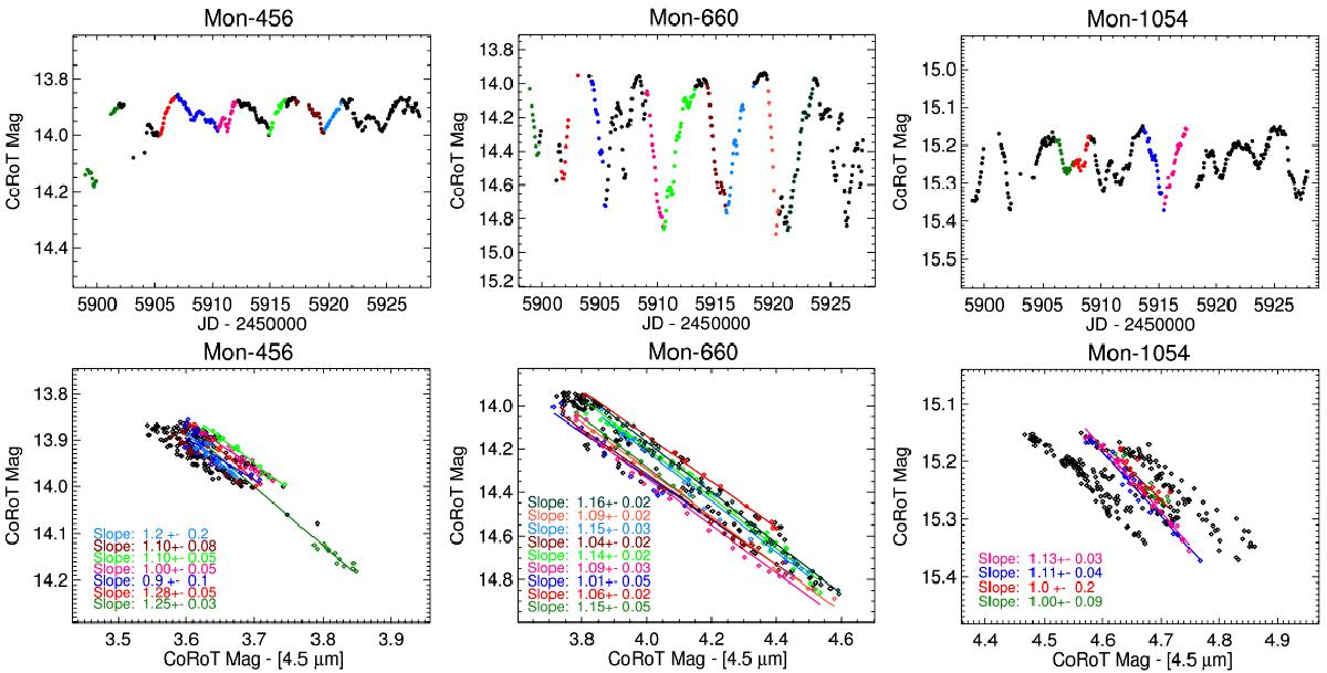
Fig. 16

Top: CoRoT light curve of the stars Mon-456, Mon-660, and Mon-1054. Bottom: CoRoT vs. CoRoT-IRAC4.5μm color magnitude diagrams of the same stars. The slopes were calculated for various parts of the light curves where CoRoT and Spitzer IRAC data best correlate. Different colors show different parts of the light curves for which slopes were calculated.
Current usage metrics show cumulative count of Article Views (full-text article views including HTML views, PDF and ePub downloads, according to the available data) and Abstracts Views on Vision4Press platform.
Data correspond to usage on the plateform after 2015. The current usage metrics is available 48-96 hours after online publication and is updated daily on week days.
Initial download of the metrics may take a while.