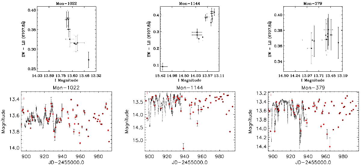
Fig. 5

Top: LiIEW vs. I magnitude for three different stars. Bottom: I-band and CoRoT light curves, shifted in magnitude to coincide, of the same three stars. Left panels: the star has an accretion-burst dominated light curve, and veiling variability that supports the variable accretion scenario. Middle panels: the star has a light curve that presents aperiodic extinction events, and veiling variability that supports a scenario in which the occulting structures are associated with accretion shocks. Right panels: the star has a light curve with AA Tau-like characteristics, while its near lack of veiling variability can neither confirm nor refute the hypothesis that it is an AA Tau-like system.
Current usage metrics show cumulative count of Article Views (full-text article views including HTML views, PDF and ePub downloads, according to the available data) and Abstracts Views on Vision4Press platform.
Data correspond to usage on the plateform after 2015. The current usage metrics is available 48-96 hours after online publication and is updated daily on week days.
Initial download of the metrics may take a while.