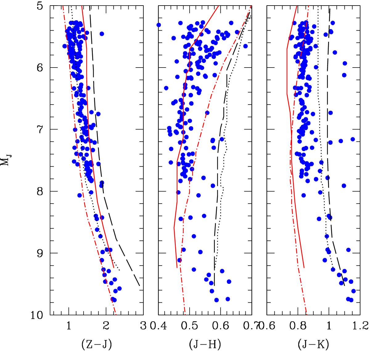
Fig. 6

Comparison of models with observations in σ Orionis in various CMDs (VISTA filters). Isochrones of 1 Myr and 10 Myr are displayed for various sets of models: present models (red): solid (1 Myr) and dash-dot (10 Myr). BCAH98 models with (black): long dashed (1 Myr) and dot (10 Myr). The data (blue dots) are from Peña Ramírez et al. (2012) using a distance modulus of 7.73 (i.e. a distance of 352 pc). The hydrogen-burning limit (M = 0.07 M⊙) is located at MJ ~ 6 (Teff ~ 2900 K, log g ~ 3.5) at 1 Myr and MJ ~ 8 (Teff ~ 2950 K, log g ~ 4.2) at 10 Myr.
Current usage metrics show cumulative count of Article Views (full-text article views including HTML views, PDF and ePub downloads, according to the available data) and Abstracts Views on Vision4Press platform.
Data correspond to usage on the plateform after 2015. The current usage metrics is available 48-96 hours after online publication and is updated daily on week days.
Initial download of the metrics may take a while.