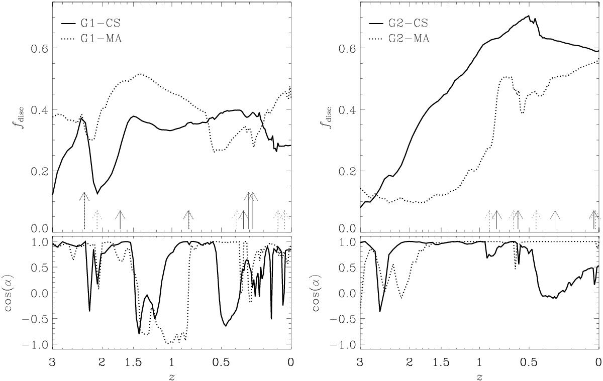
Fig. 7

Evolution of the disc-to-total measure fdisc of G1 and G2 in our two simulations. The long/short arrows denote the entrance of major/intermediate mass mergers in the inner 30 ckpc in the two runs. The lower panels show the evolution of cos(α), the angle between the corresponding angular momentum vectors of the gas and stars.
Current usage metrics show cumulative count of Article Views (full-text article views including HTML views, PDF and ePub downloads, according to the available data) and Abstracts Views on Vision4Press platform.
Data correspond to usage on the plateform after 2015. The current usage metrics is available 48-96 hours after online publication and is updated daily on week days.
Initial download of the metrics may take a while.