Free Access
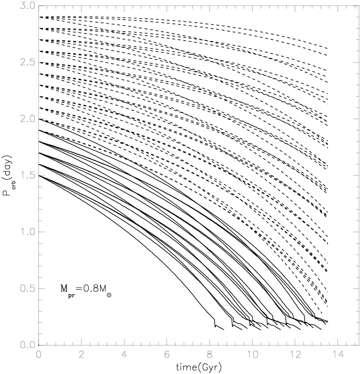
Fig. 2

Variation in time of the orbital period of all binary models with an initial primary mass equal to 0.8 M⊙. Period variations of binaries that have not yet reached RLOF within the age of the Universe are shown with dotted lines and solid lines describe the period variations of binaries that reach RLOF within this age.
Current usage metrics show cumulative count of Article Views (full-text article views including HTML views, PDF and ePub downloads, according to the available data) and Abstracts Views on Vision4Press platform.
Data correspond to usage on the plateform after 2015. The current usage metrics is available 48-96 hours after online publication and is updated daily on week days.
Initial download of the metrics may take a while.