Free Access
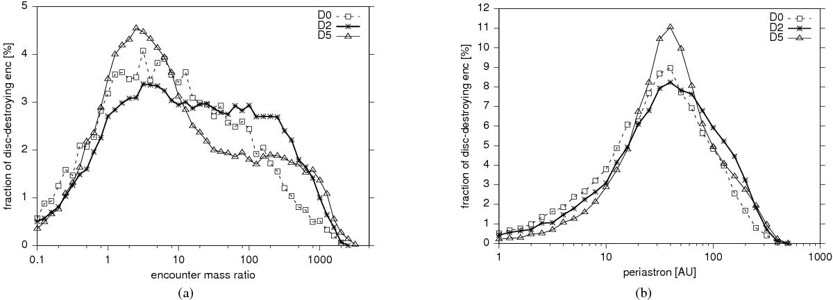
Fig. A.1

a) Fraction of disc-destroying encounters as function of the mass ratio and b) fraction of disc-destroying encounters as function of the periastron distance for cluster models D0 (open squares), D2 (asterisks), and D5 (open triangles).
This figure is made of several images, please see below:
Current usage metrics show cumulative count of Article Views (full-text article views including HTML views, PDF and ePub downloads, according to the available data) and Abstracts Views on Vision4Press platform.
Data correspond to usage on the plateform after 2015. The current usage metrics is available 48-96 hours after online publication and is updated daily on week days.
Initial download of the metrics may take a while.