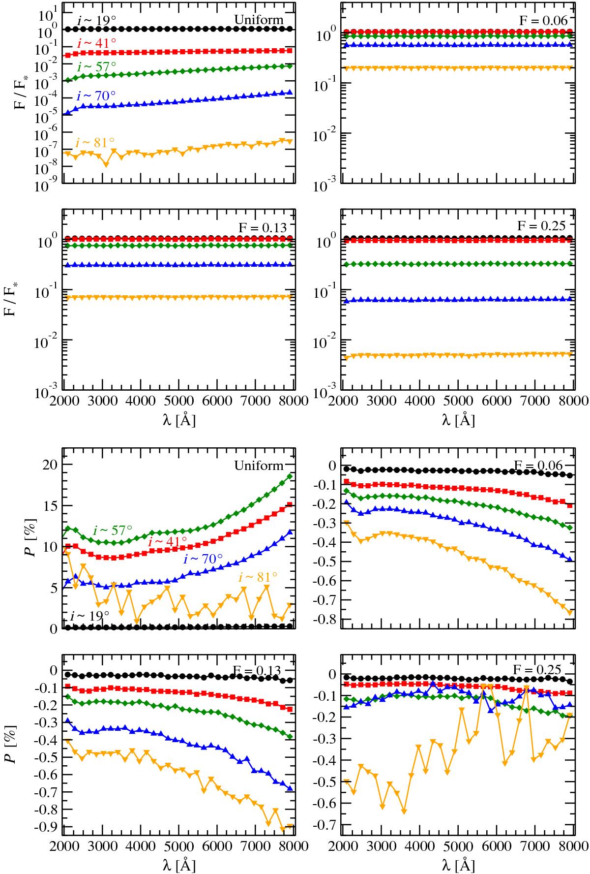
Fig. 3

Modeling an optically-thick, elliptically-shaped, extended and fragmented torus with θ0 = 30° measured relative to the symmetry axis. The fraction F/F∗ of the central flux (upper four panels) and the spatially integrated polarization P (lower four panels) are seen at different viewing inclinations, i, from 2000 to 8000 Å. The fluxes and polarizations are shown for a uniform-density model and three fragmented counterparts with filling factors ranging from 0.06 to 0.25. We note the change in scale between the spectra of the four models.
Current usage metrics show cumulative count of Article Views (full-text article views including HTML views, PDF and ePub downloads, according to the available data) and Abstracts Views on Vision4Press platform.
Data correspond to usage on the plateform after 2015. The current usage metrics is available 48-96 hours after online publication and is updated daily on week days.
Initial download of the metrics may take a while.