Free Access
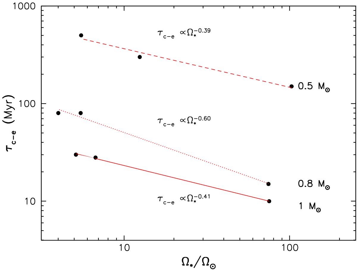
Fig. 8

Coupling timescale as a function of surface angular velocity at ZAMS for three mass bins: 1 M⊙ (solid), 0.8 M⊙ (dotted), and 0.5 M⊙ (dashed). The values derived from our models are shown as black dots (cf. Table 2) and the red lines represent a power-law fit to the data.
Current usage metrics show cumulative count of Article Views (full-text article views including HTML views, PDF and ePub downloads, according to the available data) and Abstracts Views on Vision4Press platform.
Data correspond to usage on the plateform after 2015. The current usage metrics is available 48-96 hours after online publication and is updated daily on week days.
Initial download of the metrics may take a while.