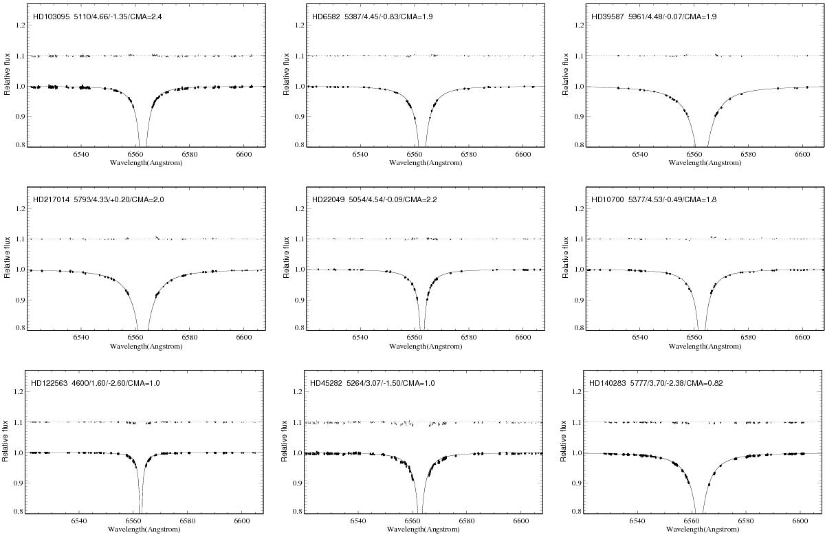
Fig. 14

Best fits of the Hα lines in our stellar sample. Solid lines are the theoretical spectra corresponding to the best fit and dotted lines represent the observed spectra that were used for determining the χ2 statistic. The horizontal dotted lines show the limit of reasonableness of the approximation and allows seeing residuals.
Current usage metrics show cumulative count of Article Views (full-text article views including HTML views, PDF and ePub downloads, according to the available data) and Abstracts Views on Vision4Press platform.
Data correspond to usage on the plateform after 2015. The current usage metrics is available 48-96 hours after online publication and is updated daily on week days.
Initial download of the metrics may take a while.