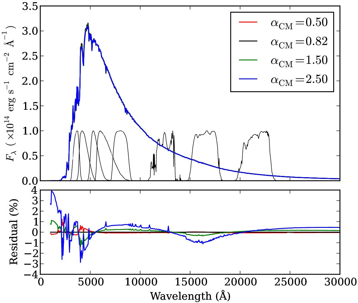
Fig. 3

Upper panel: computed solar flux Fλ with different αCMA. The spectrum is sampled every 50 Å along the wavelength. The transmission curves of U, B, V, R, I in Bessell photometric system, and J, H, Ks in 2MASS system are also overplotted (from left to right). The residuals to fluxes with αCMA = 0.82 are plotted in the lower panel.
Current usage metrics show cumulative count of Article Views (full-text article views including HTML views, PDF and ePub downloads, according to the available data) and Abstracts Views on Vision4Press platform.
Data correspond to usage on the plateform after 2015. The current usage metrics is available 48-96 hours after online publication and is updated daily on week days.
Initial download of the metrics may take a while.