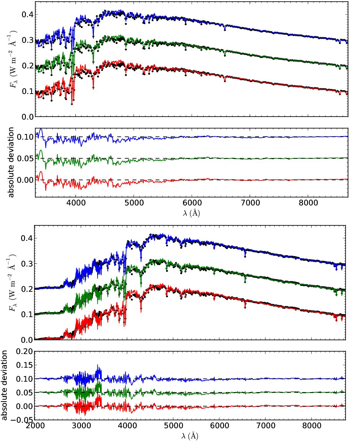
Fig. 4

Comparison of solar absolute fluxes (solid dots) to synthetic flux levels with αCMA = 0.5 (red), 1.5 (green), and 2.5 (blue). Observational data were taken from Neckel & Labs (1984) (upper panel) and Thuillier et al. (2003) (lower panel). The absolute deviation (Fmodel − Fobs) is plotted in the lower part of each panel. Offsets of 0.05 were added to improve the visualization.
Current usage metrics show cumulative count of Article Views (full-text article views including HTML views, PDF and ePub downloads, according to the available data) and Abstracts Views on Vision4Press platform.
Data correspond to usage on the plateform after 2015. The current usage metrics is available 48-96 hours after online publication and is updated daily on week days.
Initial download of the metrics may take a while.