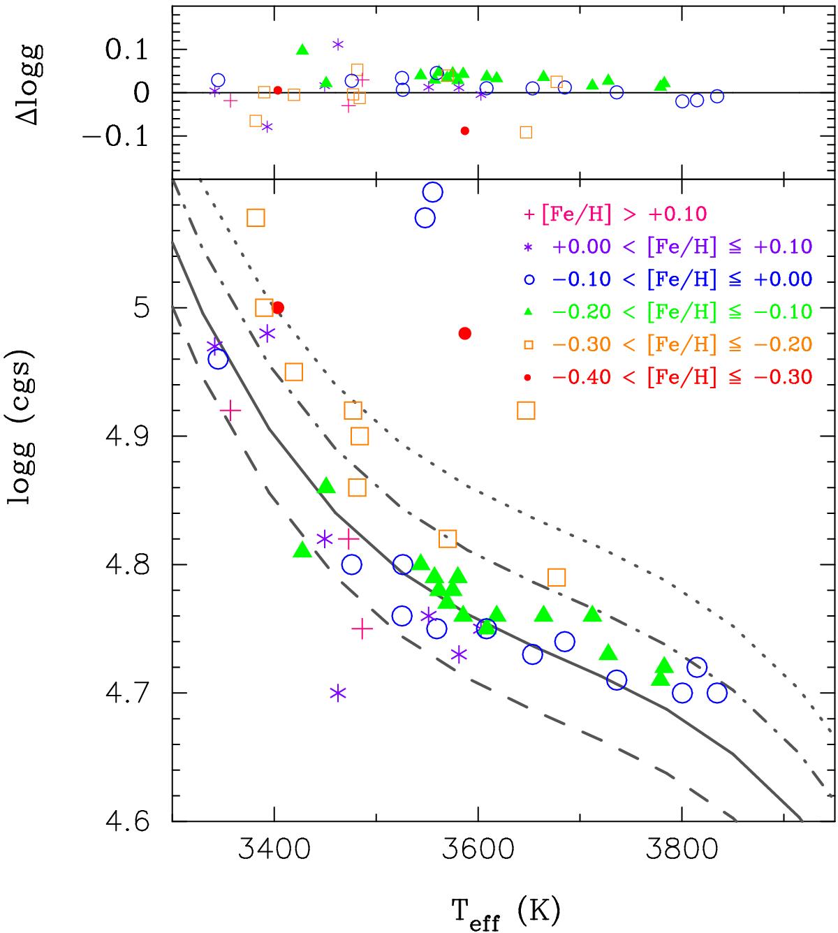
Fig. 13

Logarithmic surface gravity as a function of the effective temperature. Stars are plotted using different colours and symbols according to their metallicity. Several fits for fixed metallicity values are plotted: +0.15 (dashed line), +0.00 (solid line), −0.15 (dashed-dotted line), and −0.30 (dotted line). Upper panel: differences between the log g obtained with our calibrations (Eq. (7)) and those derived from masses and radius. Median errors in log g estimates are 0.18 dex (mass-radius derived values) and 0.05 dex (values from Eq. (7)).
Current usage metrics show cumulative count of Article Views (full-text article views including HTML views, PDF and ePub downloads, according to the available data) and Abstracts Views on Vision4Press platform.
Data correspond to usage on the plateform after 2015. The current usage metrics is available 48-96 hours after online publication and is updated daily on week days.
Initial download of the metrics may take a while.