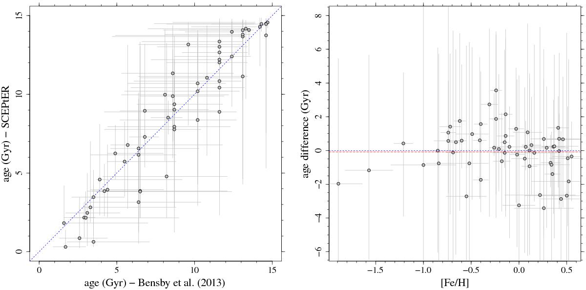
Fig. 2

Left: SCEPtER age estimates for the 58 microlensed stars versus the Bensby et al. (2013) estimates. Right: difference in age estimates between the two techniques versus [Fe/H]. A positive value means that the SCEPtER age is greater than the corresponding age estimated by Bensby et al. (2013). The red dashed line marks the mean difference of − 0.08 Gyr between the two sets of age estimates.
Current usage metrics show cumulative count of Article Views (full-text article views including HTML views, PDF and ePub downloads, according to the available data) and Abstracts Views on Vision4Press platform.
Data correspond to usage on the plateform after 2015. The current usage metrics is available 48-96 hours after online publication and is updated daily on week days.
Initial download of the metrics may take a while.