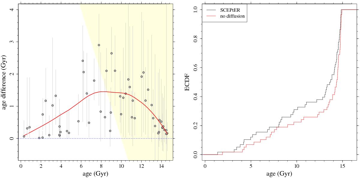
Fig. 5

Left: differences in age estimates assuming the grid that neglects microscopic diffusion and the standard one. The solid red line is a LOESS smoother of the data (see text). The yellow region shows the stars older than 10 Gyr. Right: empirical cumulative distribution functions for the upper limits of the estimated ages obtained by SCEPtER adopting the grid with element diffusion (black line), and the grid that neglects it (red line).
Current usage metrics show cumulative count of Article Views (full-text article views including HTML views, PDF and ePub downloads, according to the available data) and Abstracts Views on Vision4Press platform.
Data correspond to usage on the plateform after 2015. The current usage metrics is available 48-96 hours after online publication and is updated daily on week days.
Initial download of the metrics may take a while.