Free Access
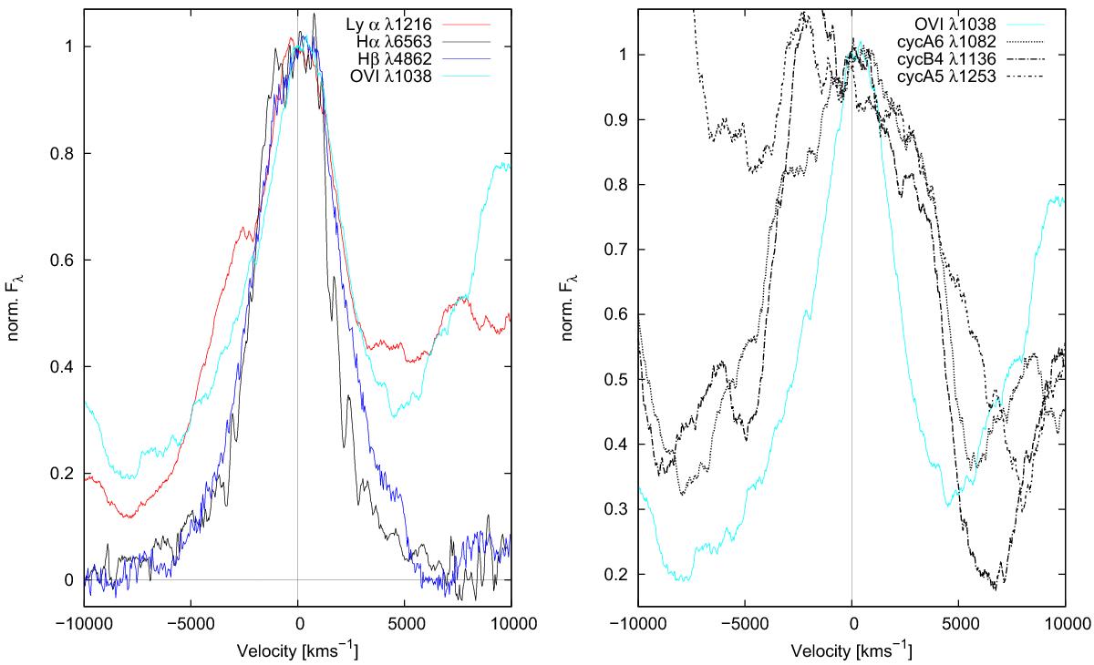
Fig. 2

Left: normalized emission line profiles of the strongest optical and UV emission lines in velocity space. Right: cyclotron emission line profiles of CycA2, CycB2, and CycA3 at λ1082, λ1136, and λ1253 in comparison to the O vi λ1038 line.
Current usage metrics show cumulative count of Article Views (full-text article views including HTML views, PDF and ePub downloads, according to the available data) and Abstracts Views on Vision4Press platform.
Data correspond to usage on the plateform after 2015. The current usage metrics is available 48-96 hours after online publication and is updated daily on week days.
Initial download of the metrics may take a while.