Free Access
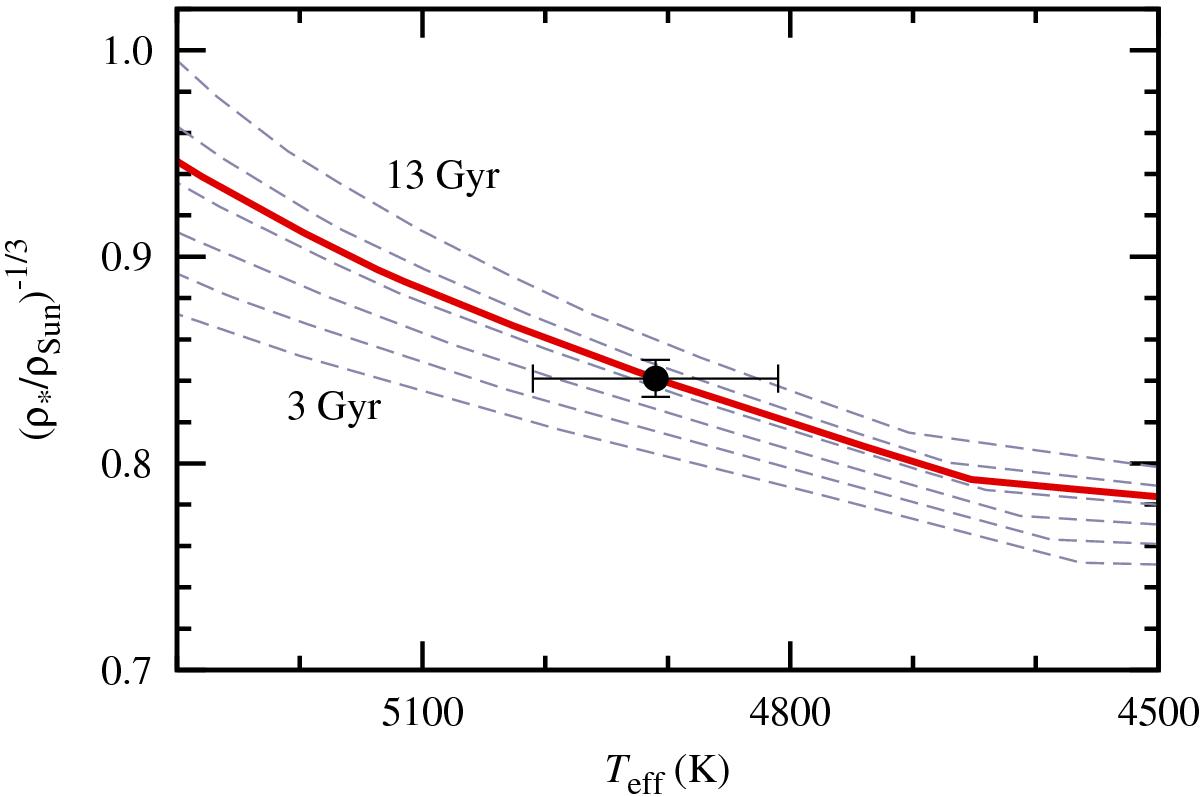
Fig. 2

Modified Hertzsprung-Russel diagram with Qatar-1 marked as a central dot. The PARSEC isochrones of [ Fe/H ] = 0.20 and ages between 3 and 13 Gyr with a step of 2 Gyr are sketched with dashed lines. The best-fitting isochrone is drawn with a continuous line.
Current usage metrics show cumulative count of Article Views (full-text article views including HTML views, PDF and ePub downloads, according to the available data) and Abstracts Views on Vision4Press platform.
Data correspond to usage on the plateform after 2015. The current usage metrics is available 48-96 hours after online publication and is updated daily on week days.
Initial download of the metrics may take a while.